项目申报

成果申报

信息快讯

您现在的位置: 首页  > 学术动态  > 正文

牙齿序列同位素揭示春秋时期先民哺乳断奶模式

发布者:点击量:发布时间:2024-04-26

作者:张晴丹 来源:中国科学报 发布时间:2024/4/25 22:20:15
选择字号:
牙齿序列同位素揭示春秋时期先民哺乳断奶模式

 

近日,中国科学院大学考古学与人类学系副教授尚雪课题组,联合中国科学院古脊椎动物与古人类研究所、陕西省考古研究院科研人员,对陕北地区春秋时期虫坪塬遗址儿童断奶模式进行研究,并取得重要进展。相关结果发表在Journal of Archaeological Science: Reports上。通过分析墓葬中出土的成人牙本质序列碳氮稳定同位素数据,该研究揭示了陕北延安地区春秋时期农牧民儿童断奶实践中的组内差异,为研究古代农牧人群“多元一体”的生存方式提供了新视角。

断奶作为儿童成长过程中的重要环节,不仅影响个体的健康成长,还反映着家庭经济和社会文化背景。以往国内相关研究多集中于古代农业人群的断奶模式,而对于古代农牧混合经济下人群的断奶实践知之甚少。此次研究为理解古代中国社会生业模式的复杂性提供了宝贵见解。

  ?

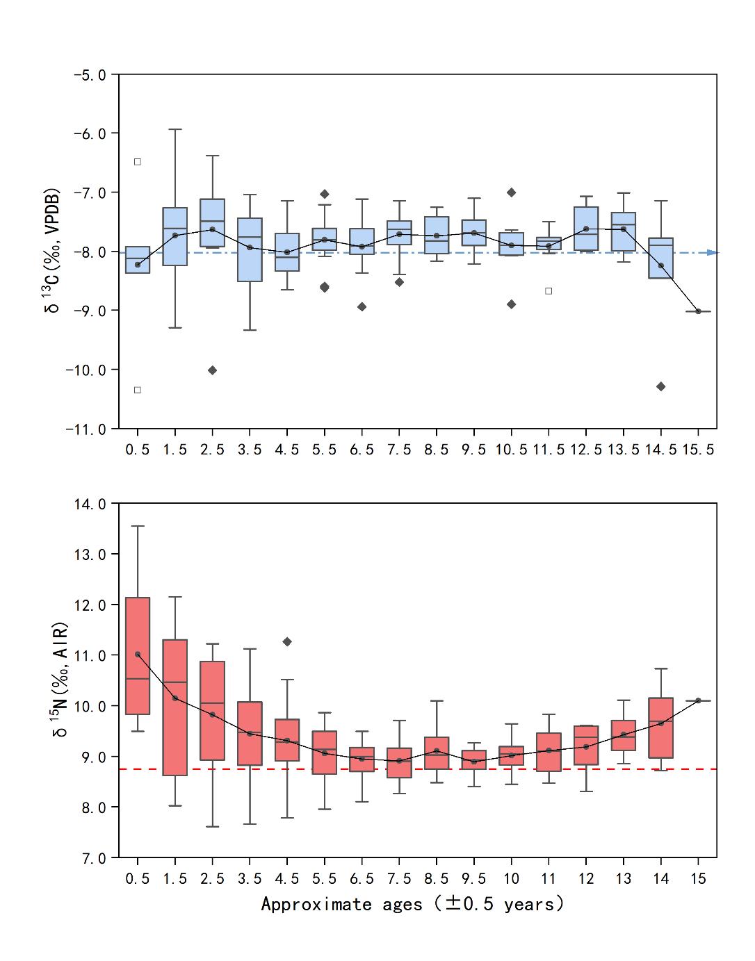
牙齿碳氮稳定同位素不同年龄段的分布变化    课题组供图

研究团队在虫坪塬遗址分析了春秋时期先民农牧混合经济群体中不同个体的牙本质样本。对古代个体第一磨牙(M1)、犬齿等牙齿进行切片,获得一系列碳(δ13C)和氮(δ15N)稳定同位素数据结果,从而探讨个体在未成年时期的食谱变化情况。研究表明在该遗址人群中存在两种主要的断奶模式,断奶年龄和辅食偏好呈现多样性,表明当时社会的断奶实践并非一成不变,而是受到多种因素的影响。

具体来说,以作物种植为主的家庭,其儿童可能在三岁之前完全断奶,辅食以植物性食物为主,尤其是C4植物如粟黍。而以畜牧业为主要生计方式的家庭,儿童完全断奶年龄则推迟至四岁以后,辅食中可能包含更多动物制品如山羊乳制品。这些差异反映了当时社会经济特化的可能影响,以及农牧混合经济下不同生计策略对儿童喂养实践的多元影响。

该研究还揭示了儿童辅食选择的变化趋势。随着儿童年龄的增长,辅食中动物性蛋白的比例逐渐增加,反映了从母乳喂养到辅食引入的逐渐过渡。这一发现与现代医学建议的辅食引入原则相吻合,即随着儿童年龄的增长,辅食的种类和数量应逐渐增加,以确保儿童获得全面的营养。

该成果不仅为我们理解古代中国社会的断奶实践提供了新证据,还为探讨古代人类生计策略、食物结构和健康状况提供了新的视角。

相关论文信息:https://doi.org/10.1016/j.jasrep.2024.104523


 
版权声明:凡本网注明“来源:中国科学报、科学网、科学新闻杂志”的所有作品,网站转载,请在正文上方注明来源和作者,且不得对内容作实质性改动;微信公众号、头条号等新媒体平台,转载请联系授权。邮箱:shouquan@stimes.cn。