项目申报

成果申报

信息快讯

您现在的位置: 首页  > 学术动态  > 正文

碎裂函数实验研究获进展

发布者:点击量:发布时间:2023-06-13

作者:叶满山 来源:中国科学报 发布时间:2023/6/13 16:42:10
选择字号:
碎裂函数实验研究获进展

 

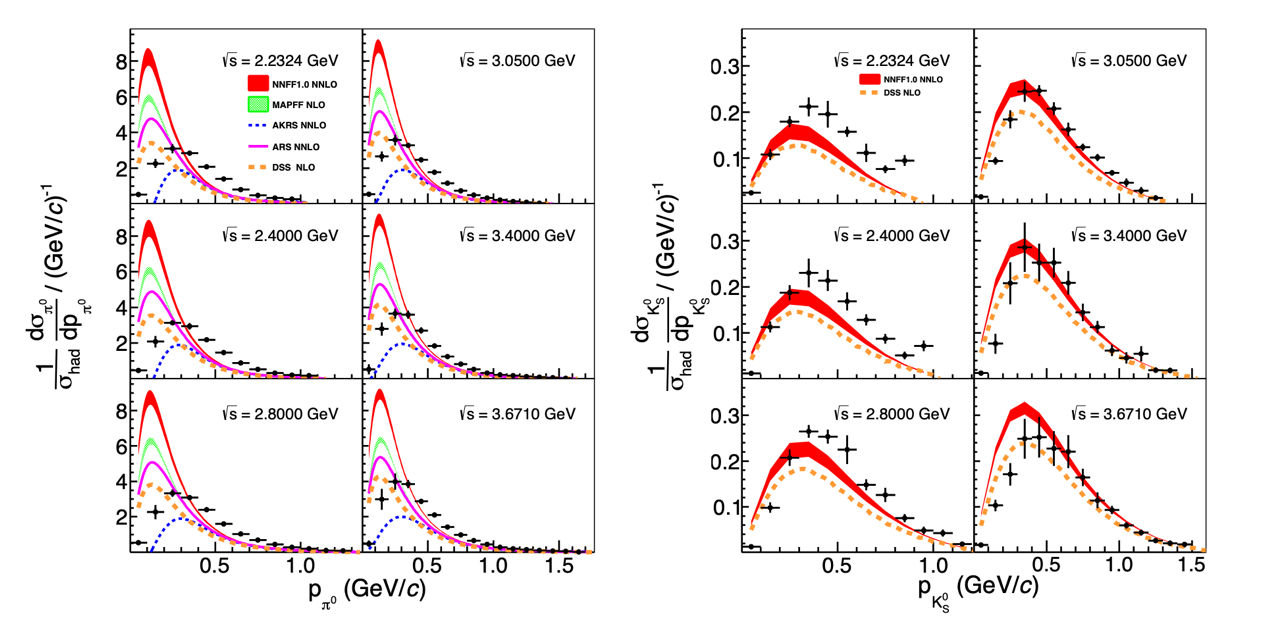
近日,中国科学院近代物理所夸克物质中心研究员赵宇翔团队在碎裂函数和强子化研究方面取得了重要进展。研究成果于6月6日在线发表于《物理评论快报》。

标准模型的量子色动力学(QCD)是描述部分子(夸克和胶子)间强相互作用的理论,它的最大挑战来自于低能区的非微扰性质。由于色禁闭效应,实验上没有观测到带色荷的部分子,只探测到色中性的强子。碎裂函数描述了部分子的强子化过程,对其研究是理解强子产生机制的重要手段。正负电子对撞中单举强子的产生被认为是研究碎裂函数最有效的过程之一。目前,在质心能量低于10 GeV的区域,能用于碎裂函数研究的高精度正负电子对撞实验数据极为有限。

在工作中,利用北京谱仪BESIII数据,团队精确测量了中性pion和Kaon介子单举产生微分截面,最高精度达4%, 仅为现有实验数据误差的五分之一。基于现有一系列碎裂函数的理论计算均不能很好地描述实验结果。因此,该能区的实验测量为碎裂函数及强子化过程的研究提供了精确的实验数。

相关论文信息:https://doi.org/10.1103/PhysRevLett.130.231901

  中性pion和Kaon介子单举产生微分截面测量结果。近物所供图

 
版权声明:凡本网注明“来源:中国科学报、科学网、科学新闻杂志”的所有作品,网站转载,请在正文上方注明来源和作者,且不得对内容作实质性改动;微信公众号、头条号等新媒体平台,转载请联系授权。邮箱:shouquan@stimes.cn。